
地 址:上海市金山区兴塔工业区
咨询电话:021-57362601
图文传真:021-33250343
电子邮箱:hanyuev@126.com
网 址:http://m.maiby.cn
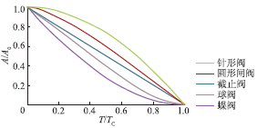
压力波动预止阀的关闭特性是指调节阀门的关闭曲线形状,常见的有如图1所示的5种曲线类型,图中T/TC为关闭时间/关闭历时,A/A0为阀门开启面积/阀门全开面积。从曲线的变化趋势可发现,蝶阀、球阀代表的阀门曲线类型是阀门关闭时的面积减少率随着关闭时间的增长而逐渐减小,即为减速关闭曲线类型;针形阀、圆形闸阀代表的阀门曲线类型是阀门关闭时的面积减少率随着关闭时间的增长而逐渐增大,即为加速关闭曲线类型;截止阀代表的阀门曲线类型是阀门关闭时的面积减少率不随关闭时间变化,即为常速关闭曲线类型。
图1 压力波动预止阀的关闭曲线类型
压力波动预止阀关闭特性对水锤的影响
经过试算,采用压力波动预止阀进行水锤防护时确定的相关工作参数:开启压力为0.5倍稳态压力,开启时间为24s,维持开启时间为6s;关闭时间为180s。在此条件下,文中将重点研究压力波动预止阀的关闭特性对水锤防护效果的影响。
压力波动预止阀在不同关闭特性条件下的计算结果如图2,3和表1所示。其中,图5为通过压力波动预止阀的流量曲线,图中Q为流量,t为时间。图3为泵站出口压力变化,图中P为压力;表1为系统压力极值的计算结果,表中Pmax为系统最高压力极值,Pmin为系统最低压力极值,Pc为承压标准。
图2 压力波动预止阀关闭特性对流量变化的影响
图3 压力波动预止阀关闭特性对泵站出口压力影响
表1 压力波动预止阀关闭特性对水锤影响

图2的计算结果表明,压力波动预止阀在感应到首次压降时打开,在全开状态并选择针形阀曲线类型时达到最大外泄量2.56m3/s。对比图1压力波动预止调节阀曲线的关闭类型和图2的流量变化可知,压力波动预止阀关闭过程中,通过阀门流量的减少率接近于阀门开启面积的减少率,这说明通过阀门的流量与阀门的开启面积成正比。
图3的计算结果表明,压力波动预止阀开启过程中,因外泄高压水使得泵站出口压力由稳态压力141.61m迅速减小至最小压力19.90m;随着压力波动预止阀关闭,泵站出口压力有所上升,并且蝶阀形式的关闭曲线相比其他曲线类型最先趋于稳定,引起的最大压力最小,其值为166.15m。这是由于阀门接近全关时,蝶阀形式的关闭曲线为减速关闭类型,所形成的流量减少率逐渐减小,从而降低了关阀水锤压力。
通过表1系统极值的统计情况还发现,当压力波动预止阀的关闭曲线形式由针形阀、圆形闸阀、截止阀、球阀至蝶阀变化,即曲线类型由加速关闭曲线、常速关闭曲线,至减速关闭曲线变化时,整个输水系统最高压力极值有减小的趋势,而系统最低压力极值有上升的趋势。并且,使用压力波动预止阀后均可使系统最高压力防护到承压标准范围内,最低压力防护在汽化压力以上。由于阀门关闭过程中,易发生关阀水锤,所以应注意阀门关闭为缓关,即压力波动预止阀关闭过程中,阀门开启面积的减少率要不断减小。因此,当压力波动预止阀的关闭特性选为减速关闭曲线类型时,泵站输水系统的最高压力和最低压力防护效果最为明显。
网站首页